• Предмет: Алгебра
  • Автор: artemclash1123124
  • Вопрос задан 2 года назад

Срочно помогите Решить с обьяснениям пожалуйста

Приложения:

Ответы

Ответ дал: 11122002
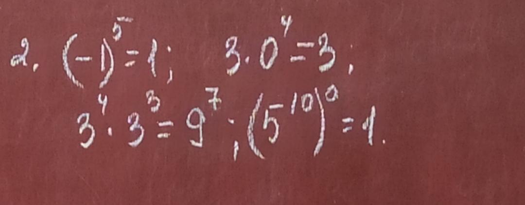
1

Ответ:

-1 в пятой степени равен -1(в любой степени 1 будет 1, а раз тут 5(нечётная) то знак он не меняет

-1=1(неверно)

3*0^4=0

0 в любой степени 0 поэтому 0=0, а значит 0=3(неверно)

3 в четвертой * 3 в третьей(тут тупо складываем степени и получаем 3^7=9^7(неверно)

(5^10)0-любое число в нулевой степени равно 1, значит 1=1

Вас заинтересует