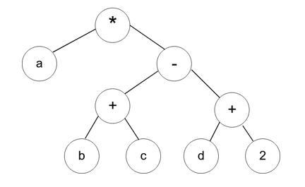
Необходимо нарисовать арифметическое дерево для данного выражения.
a * (b + c - d + 2)
Получилось сначала такое, но здесь есть ошибка, но не пойму где?
Приложения:

Ответы
Ответ дал:
1
Ответ:
См. вложение.
Объяснение:
Сложение и вычитание имеют равный приоритет, поэтому они выполняются в порядке слева направо.
Приложения:

Вас заинтересует
1 год назад
1 год назад
1 год назад
3 года назад
8 лет назад