Срочно!!!
Найти радиус описанной окружности около равнобедренного треугольника.
Условие:
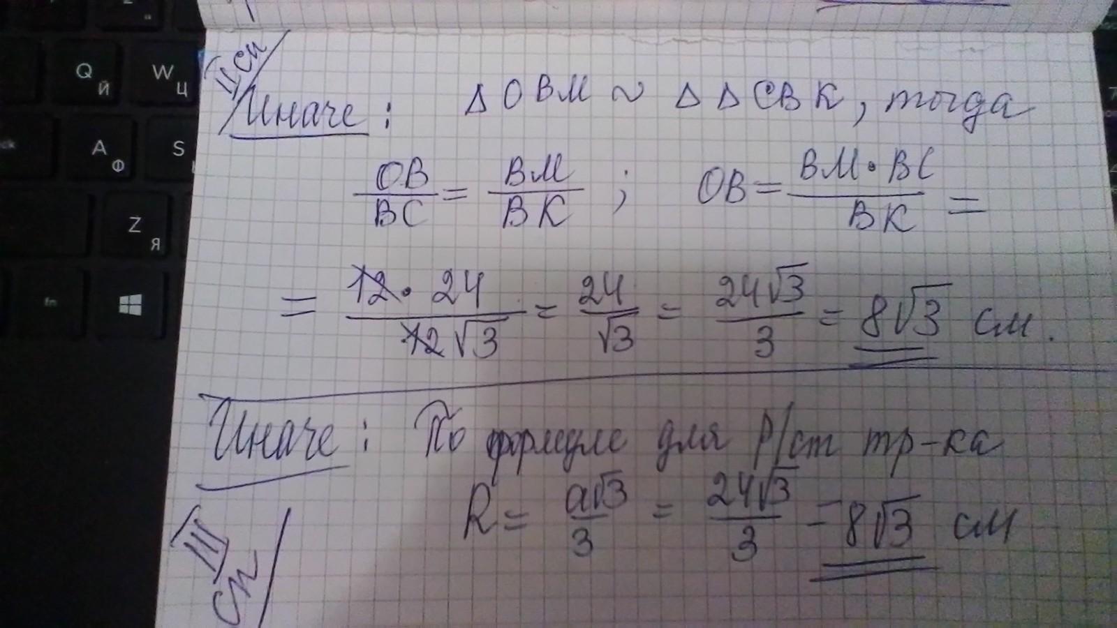
Найдите радиус окружности, осписанной около треугольника, у которого АВ=ВС=24см., <ВОМ=60°.
(Рис. 95)
Приложения:

Ответы
Ответ дал:
1
Ответ:
8 корней из 3
Объяснение:
Смотри
Приложения:


Вас заинтересует
1 год назад
1 год назад
1 год назад
1 год назад
3 года назад
3 года назад
8 лет назад