Ответы
Ответ дал:
1
Ответ:
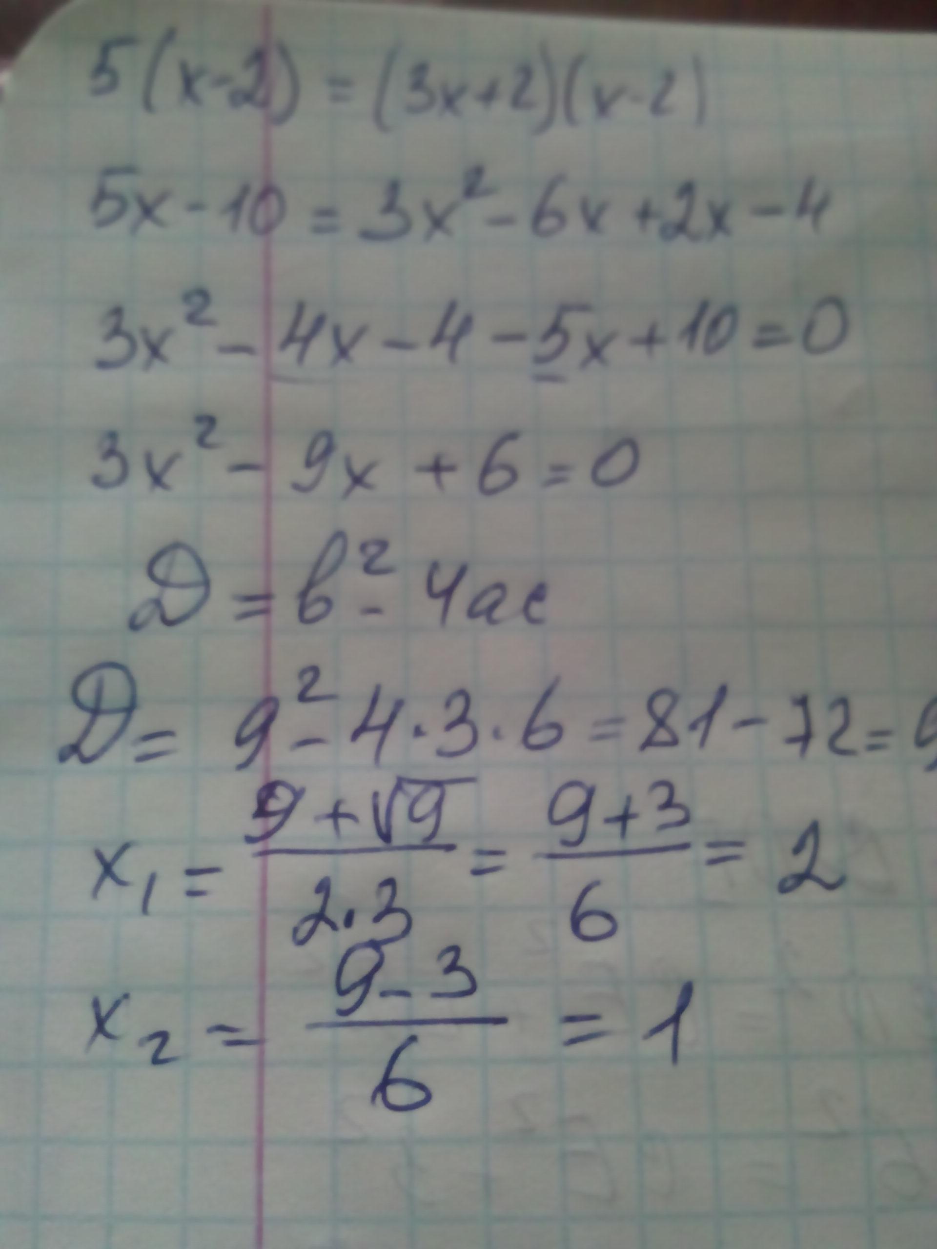
5х-10=3х²-6х+2х-4
9х-3х²=6
х¹=1
х²=2
Ответ дал:
1
Ответ: 2, 1
Объяснение:
Смотрите на файле
Приложения:

Вас заинтересует
1 год назад
1 год назад
1 год назад
1 год назад
3 года назад
3 года назад