• Предмет: Алгебра
  • Автор: nicksgo2007
  • Вопрос задан 2 года назад

Помогите сделать плиз 20 бплов​

Приложения:

Ответы

Ответ дал: Elo4kaw
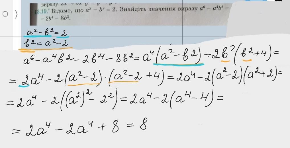
1

а^2-b^2=2

Выразим отсюда  b^2:

b^2=a^2-2

Преобразуем выражение и подставим сначала вместо а^2- b^2 цифру 2,а потом вместо b^2 выражение а ^2-2

Приложения:

terikovramazan: там ответ 4 , у меня есть решение, только опоздал и не могу вставить
terikovramazan: или нет
nicksgo2007: Спасиб
Вас заинтересует