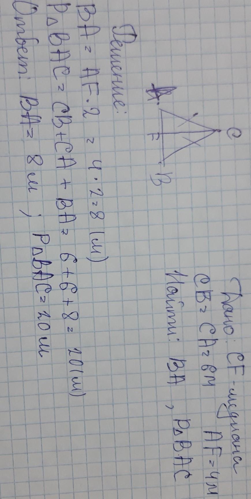
Вычисли периметр треугольника BAC и сторону BA, если
CF — медиана,
CB=CA=6м иAF=4м.
(Укажи длину и единицу измерения со строчной (маленькой) буквы.)
BA=
P(BAC)=
Ответы
Ответ дал:
8
Ответ:
вот,держи,надеюсь я тебе помогла))))
Приложения:
Вас заинтересует
2 года назад
2 года назад
2 года назад
2 года назад
3 года назад
3 года назад
9 лет назад