• Предмет: Математика
  • Автор: starsteble2017star
  • Вопрос задан 2 года назад

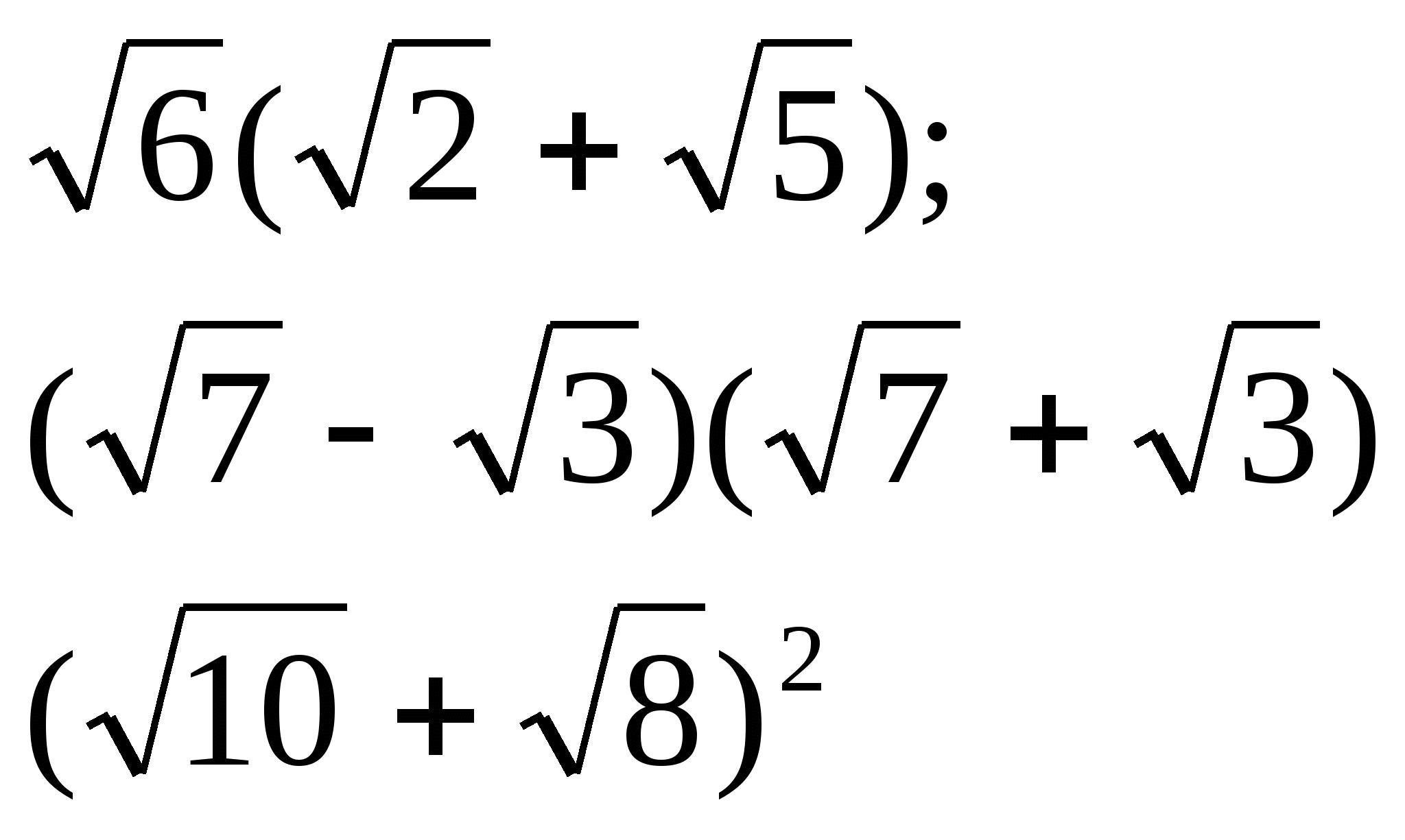
Сдесь нужно упростить выражение!Помогите плиз!

Приложения:

Ответы

Ответ дал: Аноним
0

\sqrt6\left(\sqrt2+\sqrt5\right)=\sqrt6\cdot\sqrt2+\sqrt6\cdot\sqrt5=\sqrt{6\cdot2}+\sqrt{6\cdot5}=\sqrt{12}+\sqrt{30}\\\\\\\left(\sqrt7-\sqrt3\right)\cdot\left(\sqrt7+\sqrt3\right)=\left(\sqrt7\right)^2-\left(\sqrt3\right)^2=7-3=4\\\\\\\left(\sqrt{10}+\sqrt8\right)^2=\left(\sqrt{10}\right)^2+2\cdot\sqrt{10}\cdot\sqrt8+\left(\sqrt8\right)^2=10+2\sqrt{80}+8=\\18+2\sqrt{16\cdot5}=18+8\sqrt5

Вас заинтересует