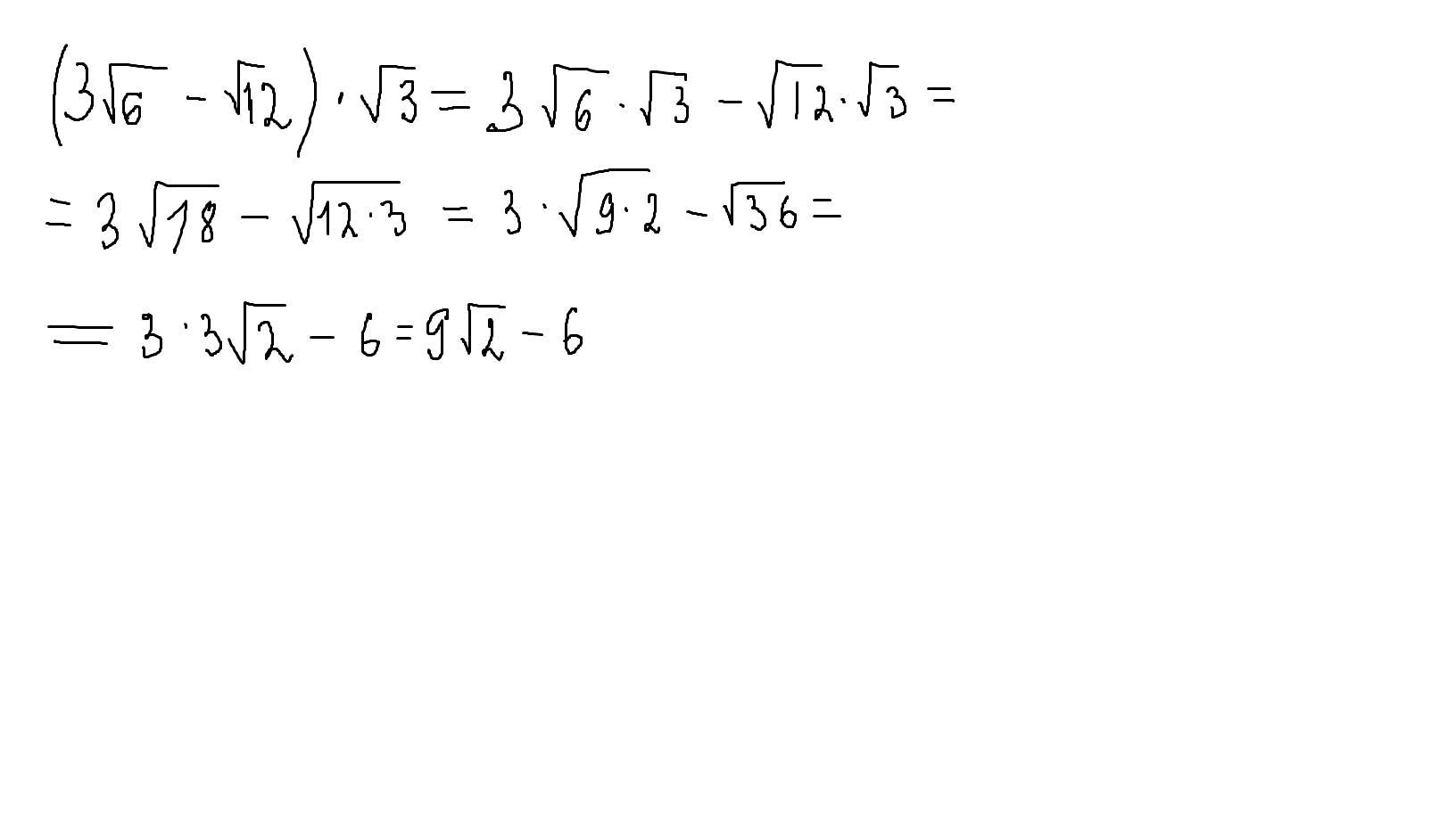
(3 корня из 6 минус корень из 12) умножить на корень из 3
khvostalona200497:
Parua77 пожалуйста помогите с геометрией!
Ответы
Ответ дал:
1
Ответ:
Объяснение:
надеюсь,что ваше условие поняла правильно
Приложения:

Ответ дал:
0
Ответ:
Объяснение:
Вас заинтересует
1 год назад
1 год назад
1 год назад
1 год назад
8 лет назад