Ответы
Ответ дал:
0
Ответ:
Пошаговое объяснение: можно завтра дорешать(вопрос), у меня второй час просто)
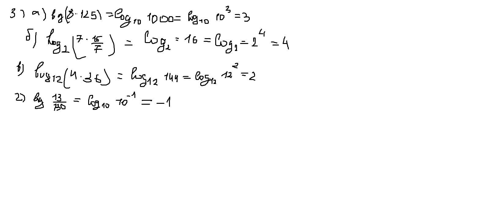
Приложения:


mioi:
Хорошо спасибо буду ждать
Вас заинтересует
1 год назад
1 год назад
1 год назад
1 год назад
8 лет назад