Найти квадрат наибольшего из двух чисел: а и b и корень квадратный наименьшего числа. Вывести полученные значения. Если a и b равны, вывести сообщение об этом. Составить алгоритм с помощью блок-схемы.
Ответы
Ответ дал:
1
Ответ:
Объяснение:
var
a, b: integer;
begin
readln(a, b);
if (a = b) then writeln('Числа равны!')
else writeln(sqr(a), ' ', sqr(b));
end.
Приложения:

Ответ дал:
1
Ответ:
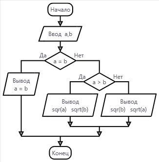
Смотри картинку
Объяснение:
var a,b:integer;
begin
read (a,b);
if a=b then writeln ('a = b')
else
if a>b then writeln (sqr(a),' ',sqrt(b))
else writeln (sqr(b),' ',sqrt(a))
end.
Приложения:

Вас заинтересует
1 год назад
1 год назад
1 год назад
3 года назад
8 лет назад
8 лет назад