• Предмет: Математика
  • Автор: noob3535
  • Вопрос задан 2 года назад

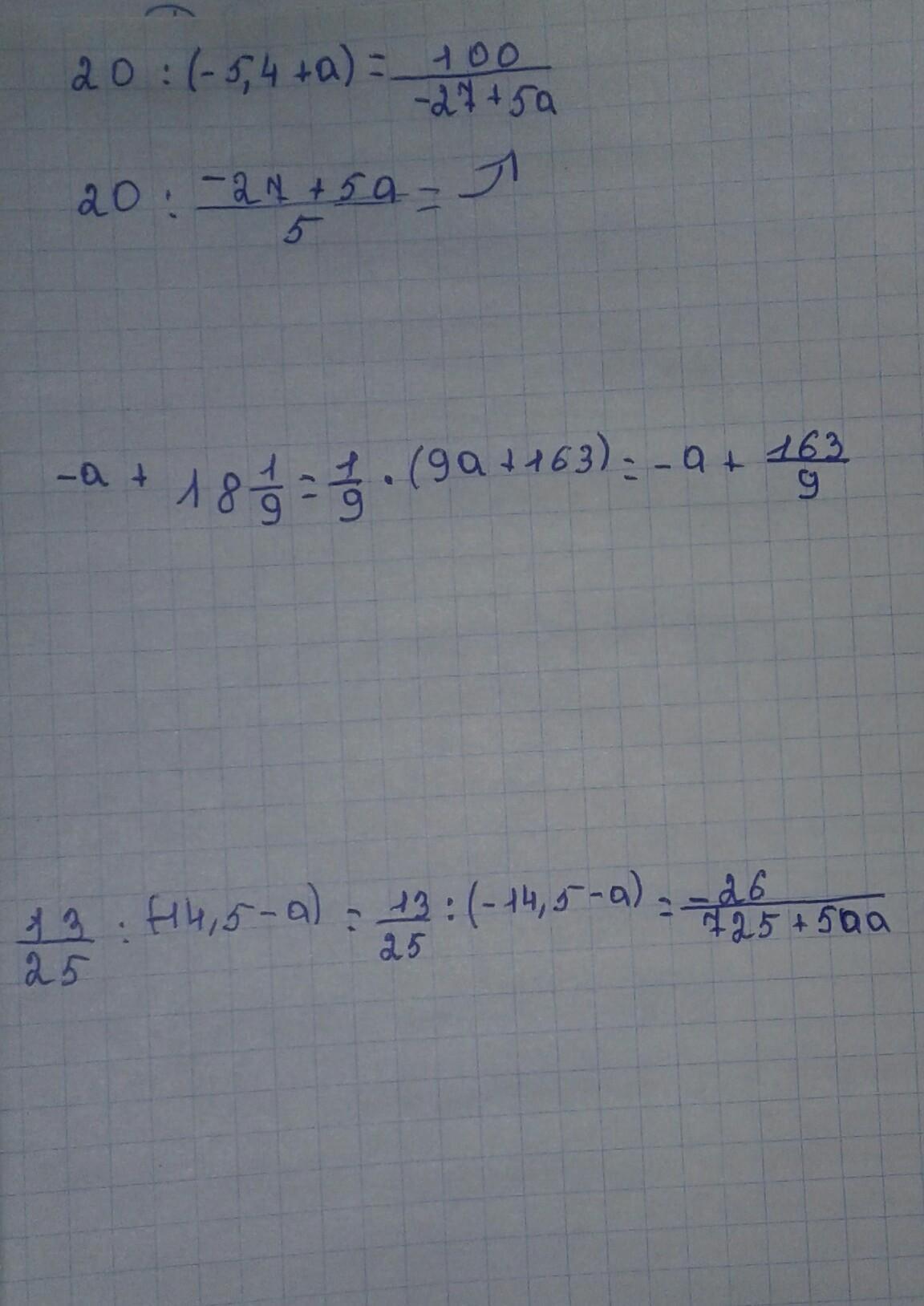
Найдите пожалуйста недопустимое значение переменной (номер 691, 4, 5 6 примеры)

Приложения:

Ответы

Ответ дал: oblako2007
4

Ответ:

в последнем я написала -14,5

Приложения:
Ответ дал: bogdana090707
2
Вот четвёртое задание
Приложения:
Вас заинтересует