• Предмет: Математика
  • Автор: Аноним
  • Вопрос задан 2 года назад

Помогити пожалуста!!!!

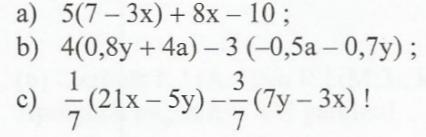
Пример с

Приложения:

Ответы

Ответ дал: Gsmarch
0

Ответ:

30х/7-26y/7

Пошаговое объяснение:

1/7(21x-5y)-3/7(7y-3x)=30х/7-26y/7

Вас заинтересует