• Предмет: Алгебра
  • Автор: ClarisVerbis
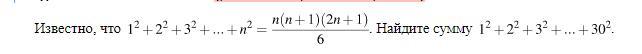
  • Вопрос задан 2 года назад

Задание прикреплено.

Приложения:

Ответы

Ответ дал: PUPD
1

Ответ:

9455

Объяснение:

\frac{30 * 31 * 61}{6} = 5 * 31 * 61 = 9455

Вас заинтересует