• Предмет: Алгебра
  • Автор: Вероника9358
  • Вопрос задан 2 года назад

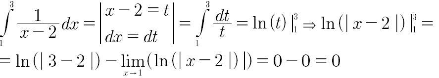
Это несобственный интеграл с точкой разрыва =2

Приложения:

Ответы

Ответ дал: Аноним
0

Ответ: во вложении Объяснение:

Приложения:
Ответ дал: igundane
0

///////////////////////////////////////////

Приложения:
Вас заинтересует