• Предмет: Алгебра
  • Автор: P1806
  • Вопрос задан 2 года назад

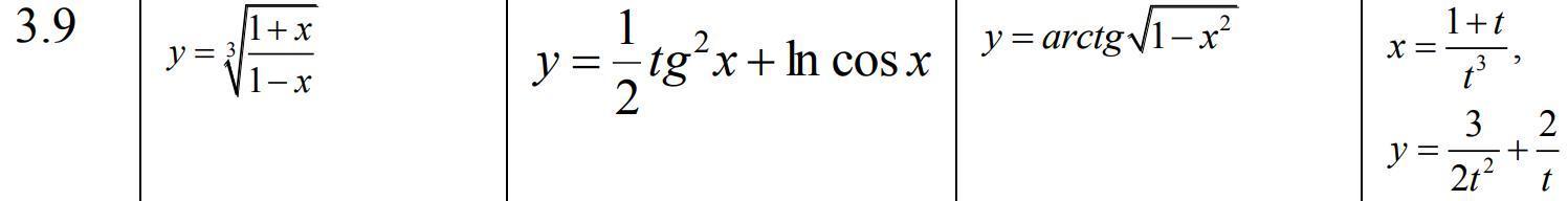
Найти производные dx/dy данных функций.
50 БАЛЛОВ

Приложения:

Ответы

Ответ дал: NNNLLL54
1

1)\; \; y=\sqrt[3]{\frac{1+x}{1-x}}\\\\y'=\frac{1}{3}\cdot (\frac{1+x}{1-x})^{-\frac{2}{3}}\cdot \frac{1-x-(1+x)\cdot (-1)}{(1-x)^2}=\frac{1}{3}\cdot \sqrt[3]{(\frac{1-x}{1+x})^2}\cdot \frac{2}{(1-x)^2}\\\\\\2)\; \; y=\frac{1}{2}\, tg^2x+ln(cosx)\\\\y'=\frac{1}{2}\cdot 2\, tgx\cdot \frac{1}{cos^2x}+\frac{1}{cosx}\cdot (-sinx)=\frac{tgx}{cos^2x}-tgx

3)\; \; y=arctg\sqrt{1-x^2}\\\\y'=\frac{1}{1+(1-x^2)}\cdot \frac{1}{2\sqrt{1-x^2}}\cdot (-2x)= \frac{-x}{(2-x^2)\cdot \sqrt{1-x^2}}

4)\; \; \{\; x=\frac{1+t}{t^3}\; \; ;\; \;y=\frac{3}{2t^2}+\frac{2}{t}\; \}\\\\x'_{t}=\frac{t^3-3t^2(1+t)}{t^6}=\frac{t^2\cdot (t-3-3t)}{t^6}=\frac{-3-2t}{t^4}\\\\y'_{t}=\frac{3}{2}\cdot (-2\cdot t^{-3})+2\cdot (-1\cdot t^{-2})=-\frac{3}{t^3}-\frac{2}{t^2}=\frac{-3-2t}{t^3}\\\\y'_{x}=\frac{y'_{t}}{x'_{t}}=\frac{-3-2t}{t^3}\cdot \frac{t^4}{-3-2t}=t


Аноним: странно. странно. Столько путаницы.. в последнем...
P1806: спасибо за предостережение
Аноним: да ладно.
Вас заинтересует