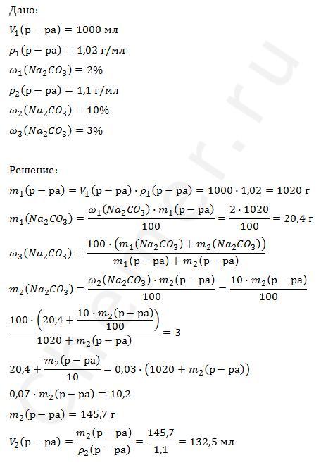
Сколько мл 10% раствора карбоната натрия плотность которого 10г/мл ,следует прибавить к 1 л 2% раствора (p=1,02 г/мл),чтобы получить 3% раствор этой соли
Ответы
Ответ дал:
0
Ответ:
Объяснение:
Решение есть, только подставь своё значения плотности. Думаю, что тебе полезно будет подставить одно значение и всё пересчитать. Так можно будет запомнить ход решения
Приложения:
Вас заинтересует
2 года назад
2 года назад
2 года назад
2 года назад
3 года назад
3 года назад
9 лет назад