• Предмет: Математика
  • Автор: MilahaNyaha
  • Вопрос задан 2 года назад

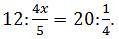
Розв'яжіть рівняння:

Приложения:

Ответы

Ответ дал: prettypushkova
1

12 : (4х)/5 = 20 : 1/4 - это пропорция

12 : 0,8х = 20 : 0,25

0,8х · 20 = 12 · 0,25 - свойство пропорции

16х = 3

х = 3/16

-----------------------------------------------------

Проверка: 12 : (4·3/16)/5 = 20 : 1/4

                   12 : (12/16 · 1/5) = 20 : 0,25

                   12 : 12/80 = 80

                   12 · 80/12 = 80

                   80 = 80 - верно


MilahaNyaha: Спасибоооо
Вас заинтересует