• Предмет: Математика
  • Автор: hdhdhpjdh
  • Вопрос задан 2 года назад

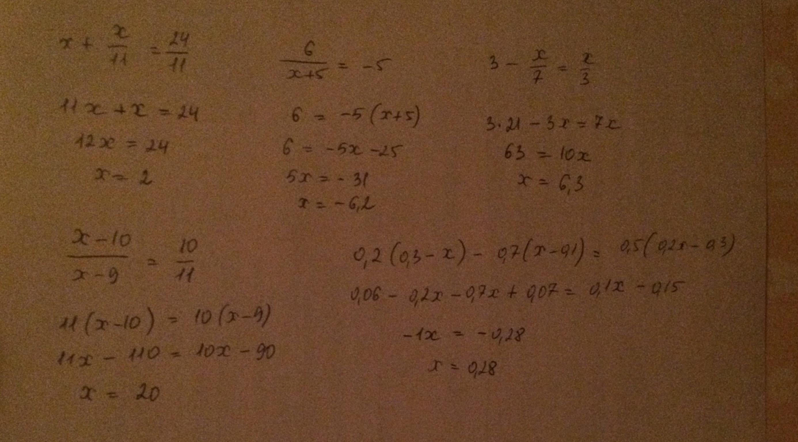
алгебра 8 класс уравнение решите плс​

Приложения:

Ответы

Ответ дал: tatnik12
0

Ответ:

Пошаговое объяснение: в первых четырёх уравнениях приводим к общему знаменателю, и решаем как обычное линейное уравнение. В последнем - раскрыть скобки, упростить и всё.

Приложения:
Вас заинтересует