• Предмет: Алгебра
  • Автор: lolikov64
  • Вопрос задан 2 года назад

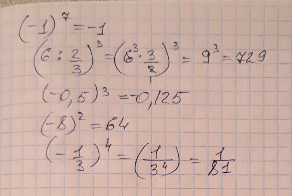
(-1)⁷
(6:⅔)³
(-0,5)³
(-8)²
(-⅓)⁴
Решить сколько будет
35 баллов!

Ответы

Ответ дал: sharofat0
3

Ответ:

Ответ во вложении.

Степень.

Приложения:
Ответ дал: murzakdima135
1

Ответ:

(-1)^7=-1

(6:2/3)^3=9^3=729

(-0.5)^3=-0.125

(-8)^2=64

(-1/3)^4=1/81

Объяснение:

Вас заинтересует