• Предмет: Алгебра
  • Автор: Аноним
  • Вопрос задан 2 года назад

3. Вычислить:
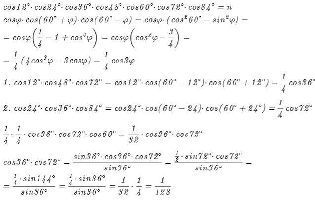
cos12˚ * cos24˚ * cos36˚ * cos48˚ * cos60˚ * cos72˚ * cos84˚​

Ответы

Ответ дал: igundane
3

////////////////////////////////////////////

Приложения:

igundane: Дополнил ответ
Аноним: Да, спасибо. Теперь всё верно
Вас заинтересует