• Предмет: Математика
  • Автор: 7lkb5
  • Вопрос задан 2 года назад

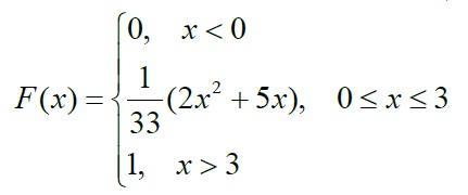
СРОЧНО!!Имеется функция распределения случайной величины.
Рассчитайте математическое ожидание этой случайной величины. Ответ округлить до сотых.

Приложения:

Ответы

Ответ дал: NNNLLL54
0

F(x)=\left\{\begin{array}{lll}0\; ,\; x<0\\\frac{1}{33}\, (2x^2+5x)\; ,\; 0\leq x\leq 3\\1\; ,\; x>3\end{array}\right\\\\f(x)=F'(x)=\left\{\begin{array}{lll}0\; ,\; x<0\\\frac{1}{33}\, (4x+5)\; ,\; 0\leq x\leq 3\\0\; ,\; x>3\end{array}\right\\\\M(X)=\int\limits^{+\infty }_{-\infty }\, x\cdot f(x)\, dx\\\\M(X)=\int\limits^0_{-\infty }\, 0\cdot dx+\frac{1}{33}\int\limits^3_0\, x\cdot (4x+5)\, dx+\int\limits^{+\infty }_3\, 0\cdot dx=\\\\=\frac{1}{33}\cdot \int\limits^3_0\, (4x^2+5x)\, dx=\frac{1}{33}\, (4\cdot \frac{x^3}{3}+5\cdot \frac{x^2}{2})\Big |_0^3=\frac{1}{33}\, (\frac{4}{3}\cdot 27+\frac{5}{2}\cdot 9)\approx 1,77

Ответ дал: Аноним
0

Ответ: во вложении Пошаговое объяснение:

Приложения:
Вас заинтересует