решите систему уравнений методом алгебрического сложения 7х-4у=19 . -5х-4у=7 помогите пожалуйста
Ответы
Ответ дал:
0
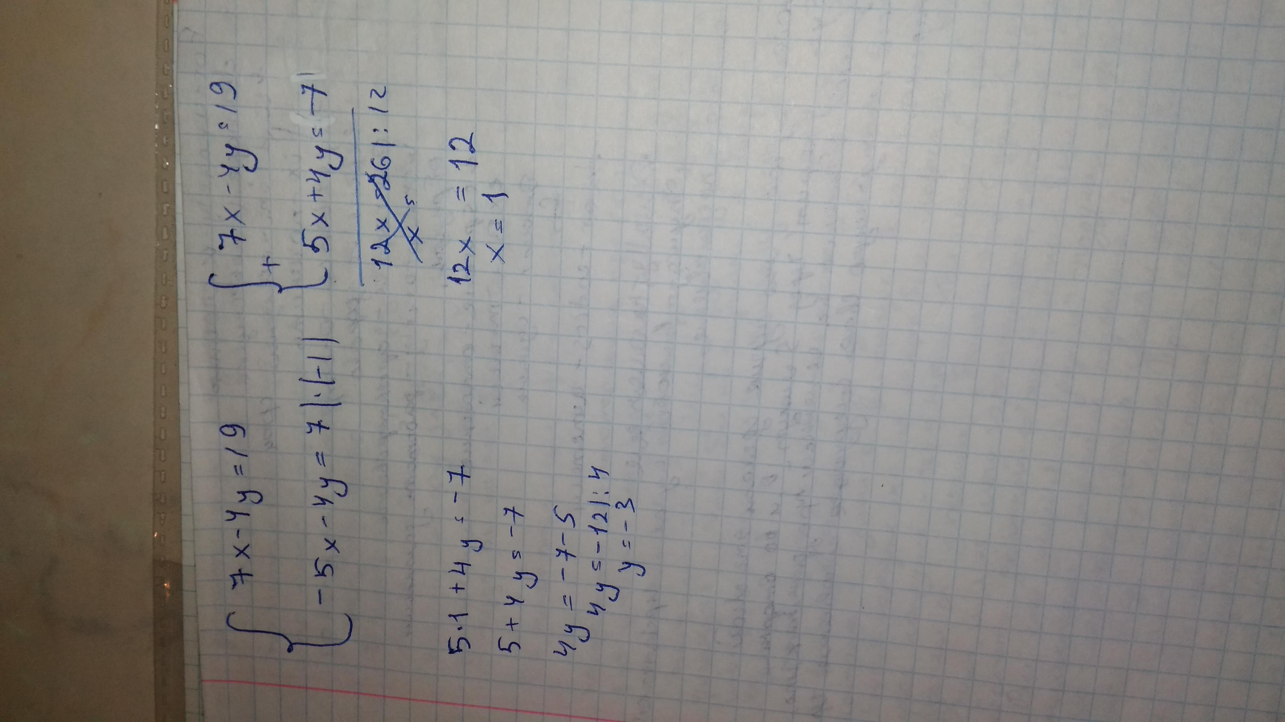
Ответ: (1, - 3)
Объяснение:
Приложения:

Ответ дал:
0
Ответ:
сори за подчерк на медика просто учусь)
Приложения:

Вас заинтересует
1 год назад
1 год назад
1 год назад
1 год назад
3 года назад
3 года назад
8 лет назад
8 лет назад