• Предмет: Алгебра
  • Автор: fsdgdji
  • Вопрос задан 2 года назад

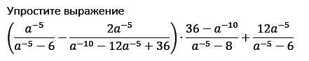
Упростите выражение:

Приложения:

Ответы

Ответ дал: tatnik12
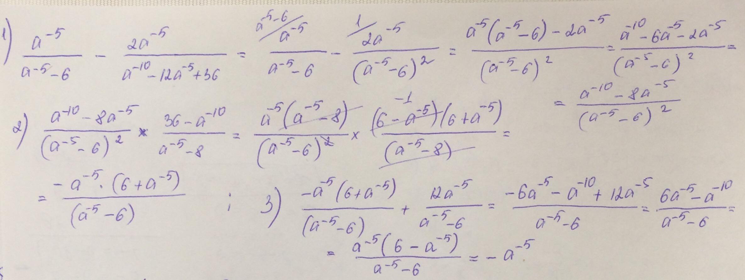
1

Ответ:-а ^(-5)

Объяснение:

Приложения:
Вас заинтересует