• Предмет: Математика
  • Автор: tikhomirovayu32
  • Вопрос задан 2 года назад

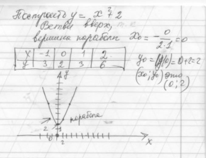
y=x в квадрате +2 график. Даю 23 бала пожалуйста ​

Ответы

Ответ дал: vskwolf1
0

Можно было бы и самим найти в просторах интернета

Приложения:
Вас заинтересует