• Предмет: Математика
  • Автор: chero007
  • Вопрос задан 2 года назад

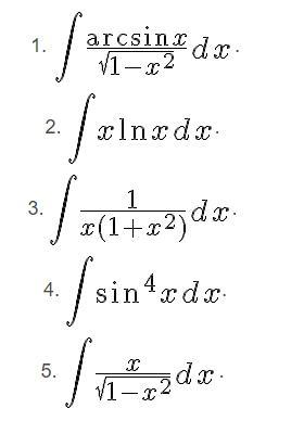
Решите подробно пожалуйста, ничего не понимаю в этом..

Приложения:

Ответы

Ответ дал: natalyabryukhova
0

Ответ:

=======================

Пошаговое объяснение:

Приложения:

chelovekrubik: Помогите пожалуйста https://znanija.com/task/33771575
Вас заинтересует