• Предмет: Математика
  • Автор: kokters
  • Вопрос задан 2 года назад

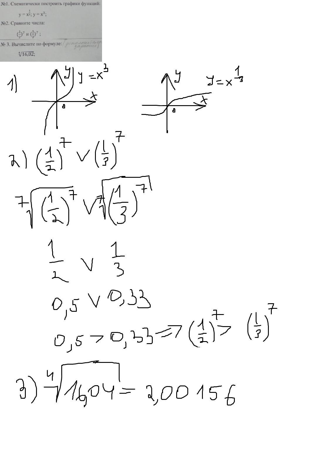
Степенная функция (на скриншоте)

Приложения:

kokters: Желательно все расписать) Спасибо!

Ответы

Ответ дал: matematikL
1

Ответ:

Пошаговое объяснение:

вот и все

Приложения:

kokters: А можно объяснить как в 3 задании получилось????
Вас заинтересует