• Предмет: Алгебра
  • Автор: Neooch
  • Вопрос задан 2 года назад

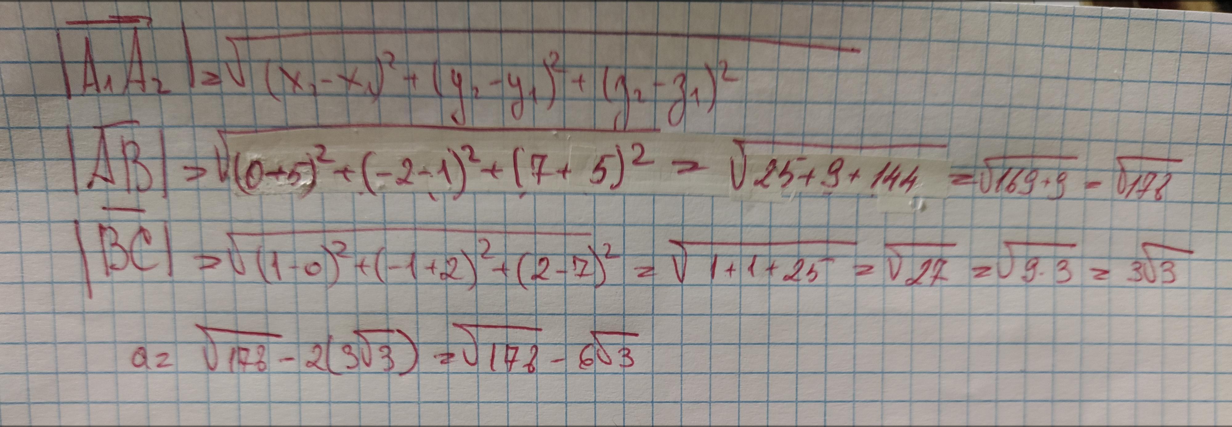
Найти вектор а=АВ -2ВС и его длину |а|, если А(5; 1; -5) В(0;-2;7) С(1;-1;2)

Ответы

Ответ дал: ademordnA
0

Возможно там можно достать 178 из под Корня целым числом, но я такого значения не нашла.

Приложения:
Вас заинтересует