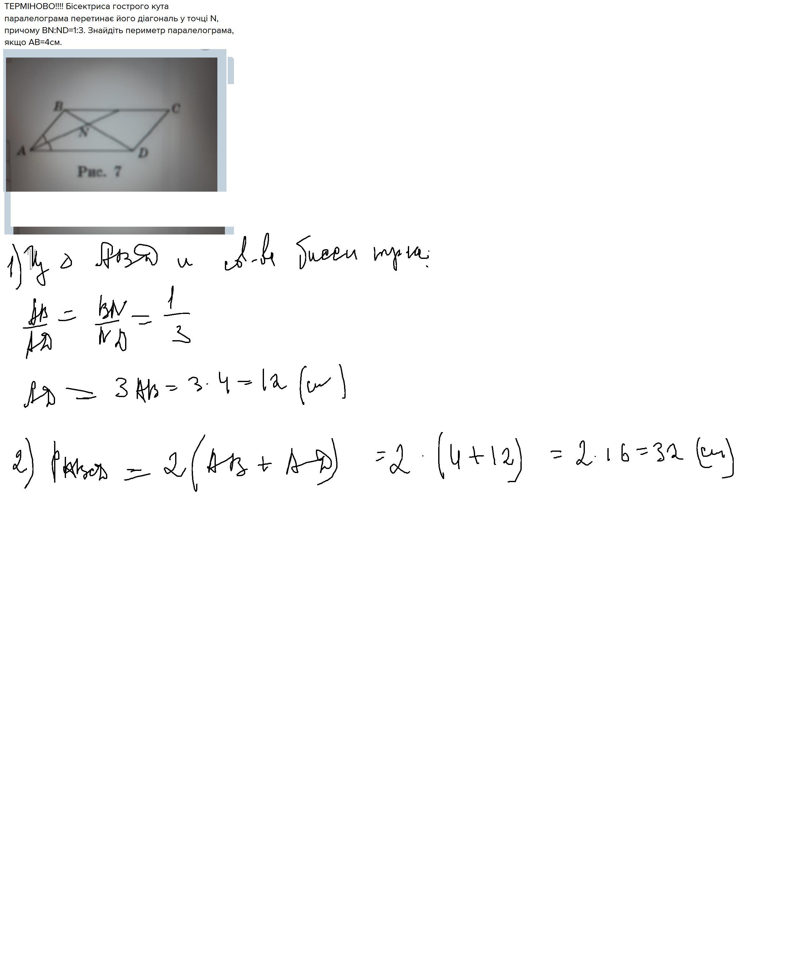
ТЕРМІНОВО!!!! Бісектриса гострого кута паралелограма перетинає його діагональ у точці N, причому BN:ND=1:3. Знайдіть периметр паралелограма, якщо AB=4см.
Приложения:
Ответы
Ответ дал:
5
Ответ:
Объяснение:
Знайдіть периметр паралелограма, якщо AB=4см
Приложения:
Вас заинтересует
2 года назад
2 года назад
2 года назад
2 года назад
3 года назад
3 года назад
9 лет назад