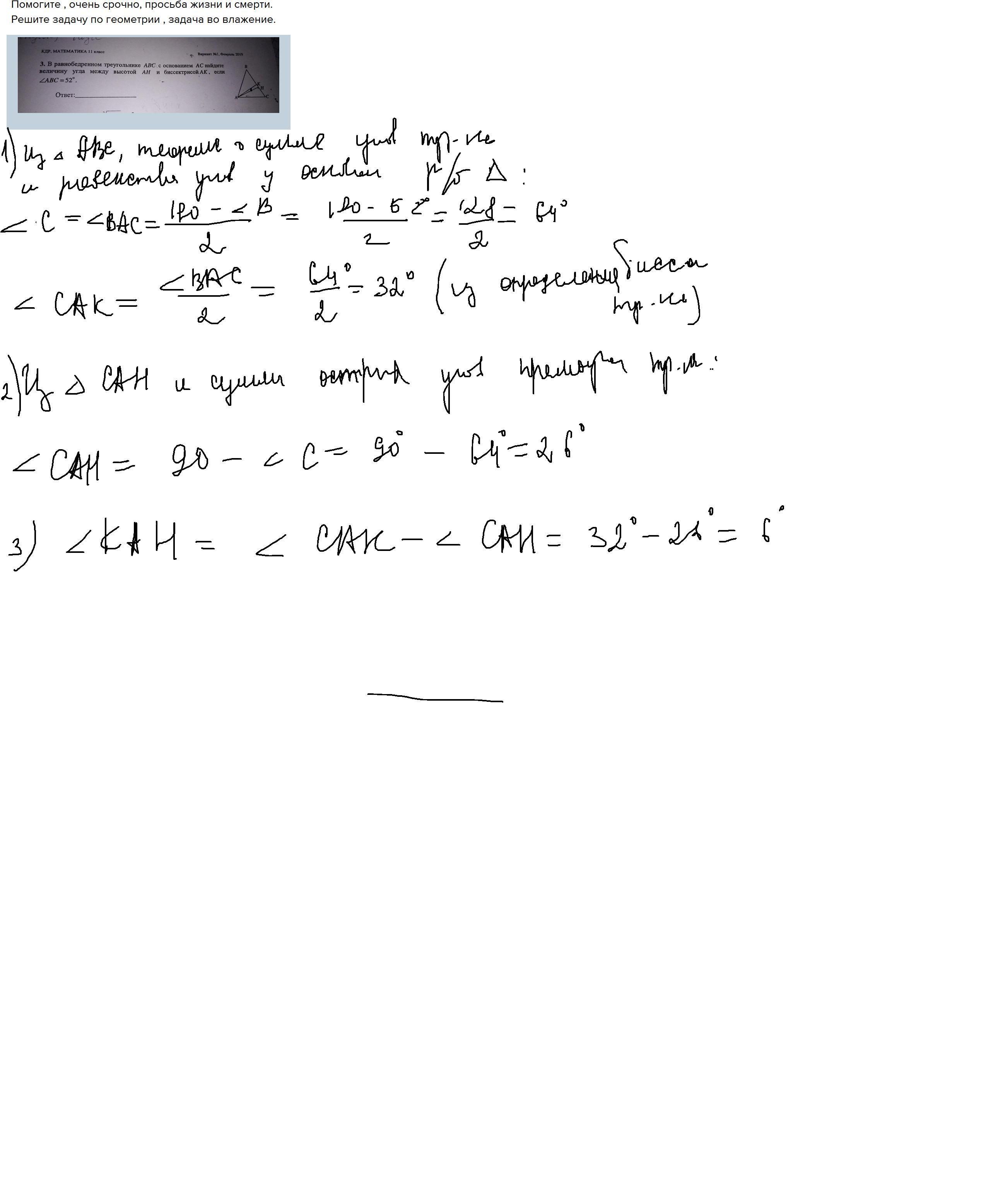
Помогите , очень срочно, просьба жизни и смерти. Решите задачу по геометрии , задача во влажение.
Приложения:

Ответы
Ответ дал:
0
Ответ:
Объяснение:Решите задачу по геометрии , задача
Приложения:

Вас заинтересует
1 год назад
1 год назад
1 год назад
3 года назад
3 года назад
8 лет назад