• Предмет: Алгебра
  • Автор: Аноним
  • Вопрос задан 2 года назад

хелпаните мне дам 65 баллов

Приложения:

Аноним: подробнее

Ответы

Ответ дал: igrok767676
1

Ответ:

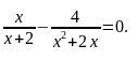
Х/Х+2- 4/Х2+2Х =0

Х2-4/Х(Х+2)=0

(Х-2)(Х+2)/Х(Х+2) =0

Х-2/Х=0

Х-2=0

Х=2

Ответ:Х=2.


Аноним: лучший спс а то я вапще не шарю в матане
igrok767676: Да обращайся:). Можешь пожалуйста ещё поставить,как "лучший ответ"?)
Вас заинтересует