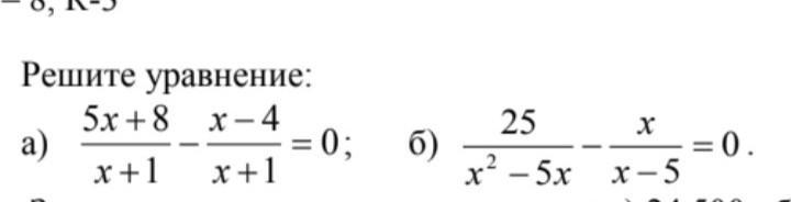
Решите уравнение
Подробно
Приложения:

dobrovantosha:
Оба?
Ответы
Ответ дал:
1
Пошаговое объяснение:
a)
б)
Вас заинтересует
1 год назад
1 год назад
3 года назад
3 года назад
8 лет назад