• Предмет: Алгебра
  • Автор: vrednayabestia
  • Вопрос задан 2 года назад

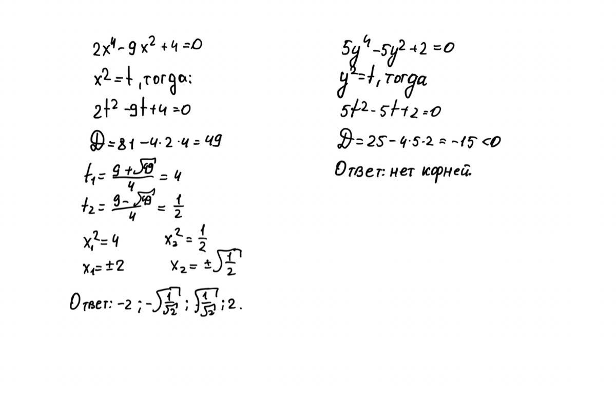
Решите пожалуйста биквадратное уравнение через пусть
2х⁴-9х²+4=0
5у⁴-5у²+2=0
Даю 30 баллов хеелп

Ответы

Ответ дал: bergalium
2
Вот.....................
Приложения:
Вас заинтересует