• Предмет: Алгебра
  • Автор: zavarochka38
  • Вопрос задан 2 года назад

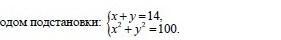
70баллов!!! решите методом подстановки​

Приложения:

Ответы

Ответ дал: Аноним
1

Ответ:

Объяснение:

\displaystyle\\\left \{ {{x+y=14} \atop {x^2+y^2=100}} \right. \ \ \ \left \{ {{y=14-x} \atop {x^2+(14-x)^2=100}} \right. \ \ \ \left \{ {{y=14-x} \atop {x^2+196-28x+x^2=100}} \right.\\\\\\\\\left \{ {{y=14-x} \atop {2x^2-28x+96=0}} \right. \ \ \  \left \{ {{y=14-x} \atop {x^2-14x+48=0}} \right\\\\\\\\po\ Bieta:x_1=6;x_2=8\\\\y_1=14-6=8;y_2=14-8=6\\\\\\\\Otwet:(6;8)\ (8;6)\\

Вас заинтересует