Ответы
Ответ дал:
0
Ответ:
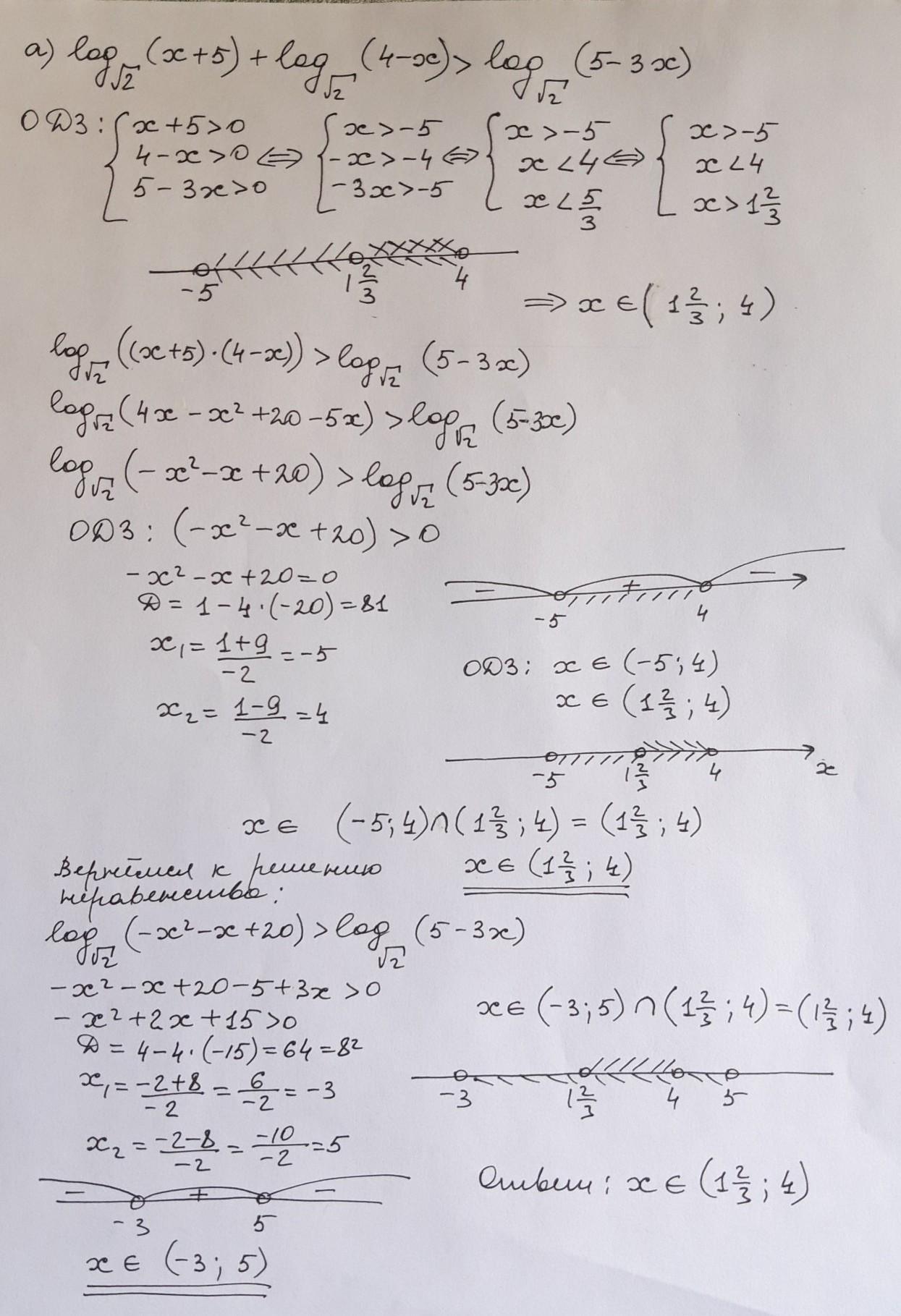
Логарифмические неравенства.
Приложения:


zhurov200287:
учитель сказал что надо как то не так, а как не объяснила ненавижу свою математичку
Вас заинтересует
1 год назад
1 год назад
1 год назад
1 год назад
3 года назад
3 года назад
8 лет назад