• Предмет: Математика
  • Автор: plz2020
  • Вопрос задан 2 года назад

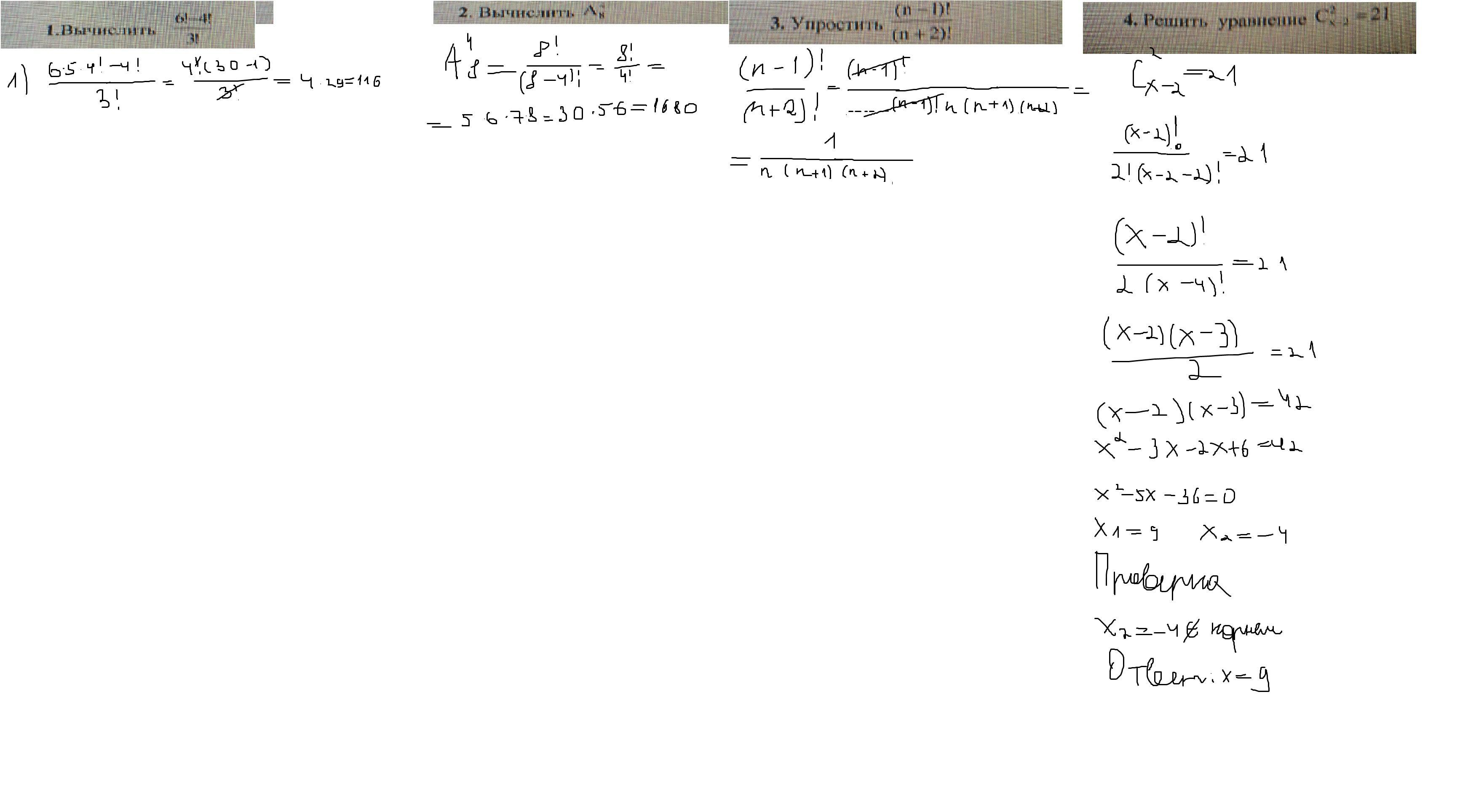
Нужно сделать 4 номера с решением

Приложения:

Ответы

Ответ дал: matematikL
1

Ответ:

Пошаговое объяснение:

вот и все

Приложения:
Вас заинтересует