• Предмет: Алгебра
  • Автор: koko101
  • Вопрос задан 2 года назад

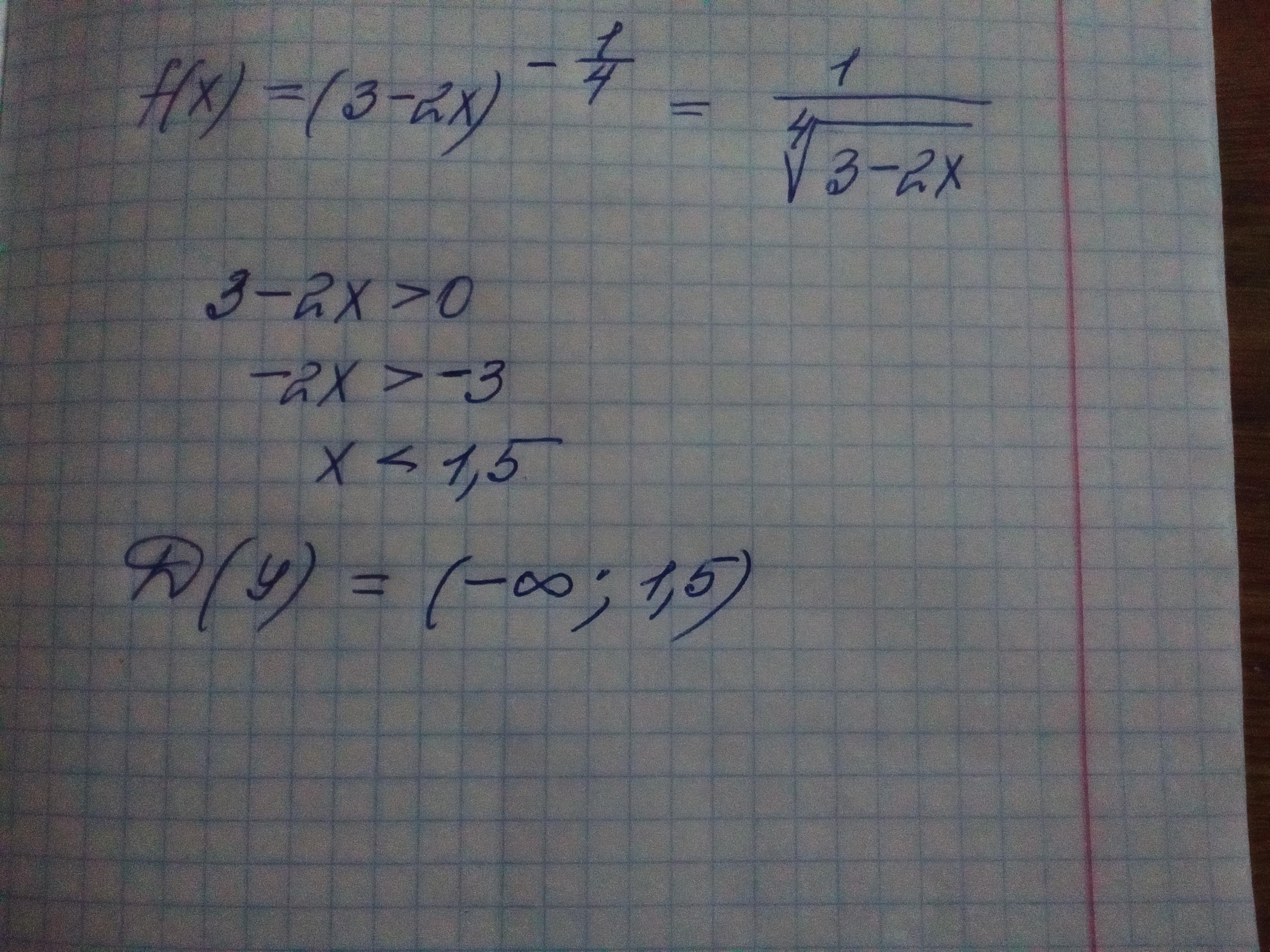
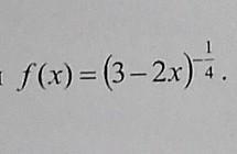
Найдите область определения функции.

(пожалуйста, помогите) ​

Приложения:

m11m: Ответ: (-бесконечность; 1,5)

Ответы

Ответ дал: Shamaeva777gulya
0

Ответ:0=(3-2x)×1,4

x=3,2

Объяснение:

Ответ дал: m11m
1

Ответ:

Объяснение:

!!!!!!!!!!!!!!!!!!!!!!!

Приложения:
Вас заинтересует