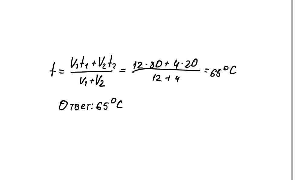
12 литров воды при температуре 80 гр , смешали с 4 литрами воды при температуре 20 гр. Найти температуру получившейся смеси.
с объяснением пожалуйста
Ответы
Ответ дал:
1
65 градусов...........
Приложения:

Вас заинтересует
1 год назад
1 год назад
1 год назад
1 год назад
3 года назад
3 года назад
8 лет назад
8 лет назад