• Предмет: Алгебра
  • Автор: elbek2005050505
  • Вопрос задан 2 года назад

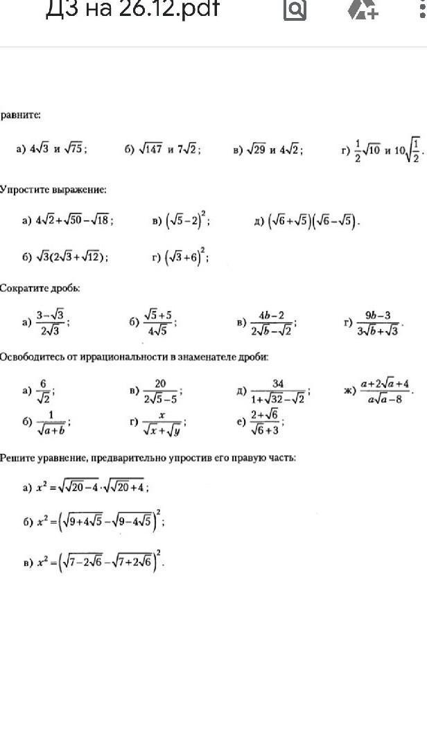
Помогите решить
все срочно быстро

Приложения:

Ответы

Ответ дал: dossse
1

Ответ:

 \sqrt{16 \times  \sqrt{3 =  \sqrt{48 } } }

1) 48<75 ; 147>98; 29<32 ,; 2,5<50 эти все цифры пишите под корнем , сверху показано откуда 48 появилось, так все цифры преобразовала

2) извиняюсь но у меня нет знака корня на клавиатуре и не могу подробно написать

Вас заинтересует