Ответы
Ответ дал:
0
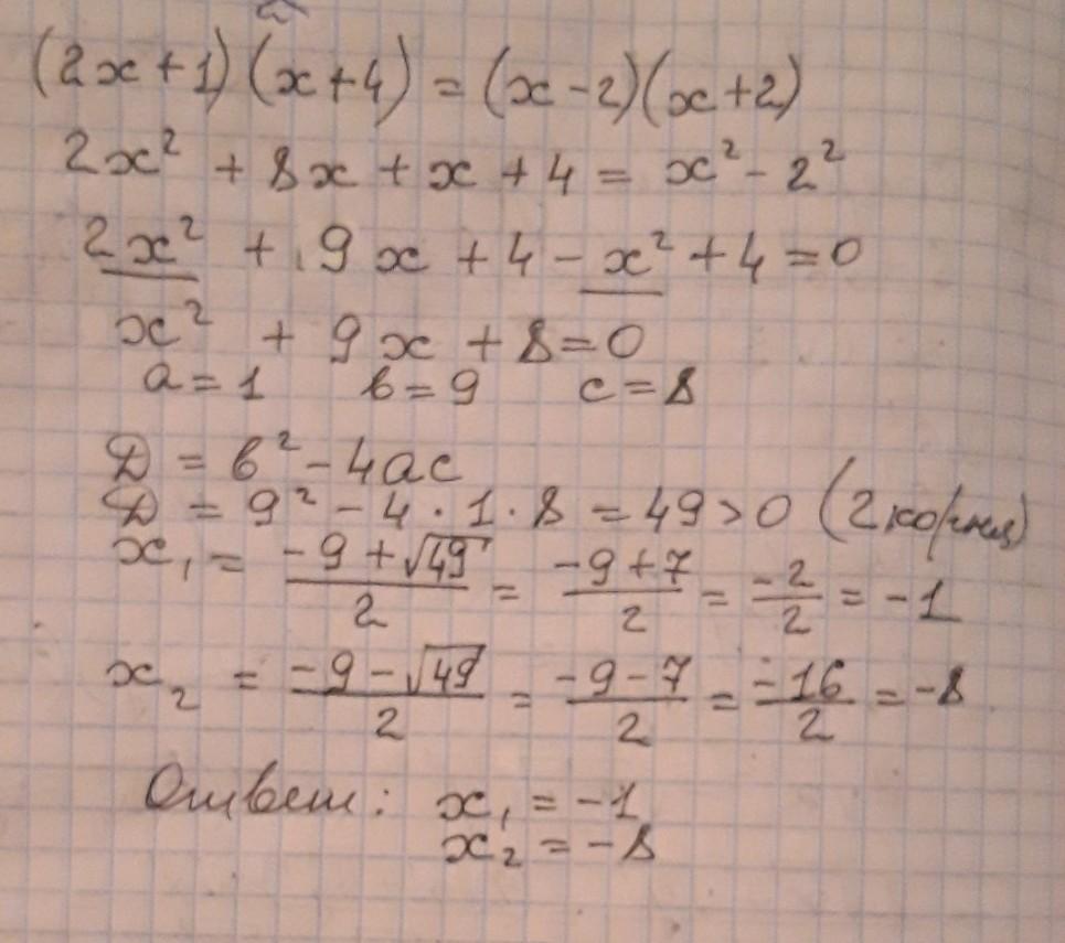
Ответ: x²+9x+8=0.
Пошаговое объяснение:
(2x+1)(x+4)=(x-2)(x+2)
2x²+9x+4=x²-4
x²+9x+8=0 D=49 √D=7
x₁=-8 x₂=-1.
Ответ дал:
1
Квадратнвй трехчлен.
Приложения:

Вас заинтересует
1 год назад
1 год назад
3 года назад
3 года назад
8 лет назад