• Предмет: Алгебра
  • Автор: elizavetabostrikova
  • Вопрос задан 2 года назад

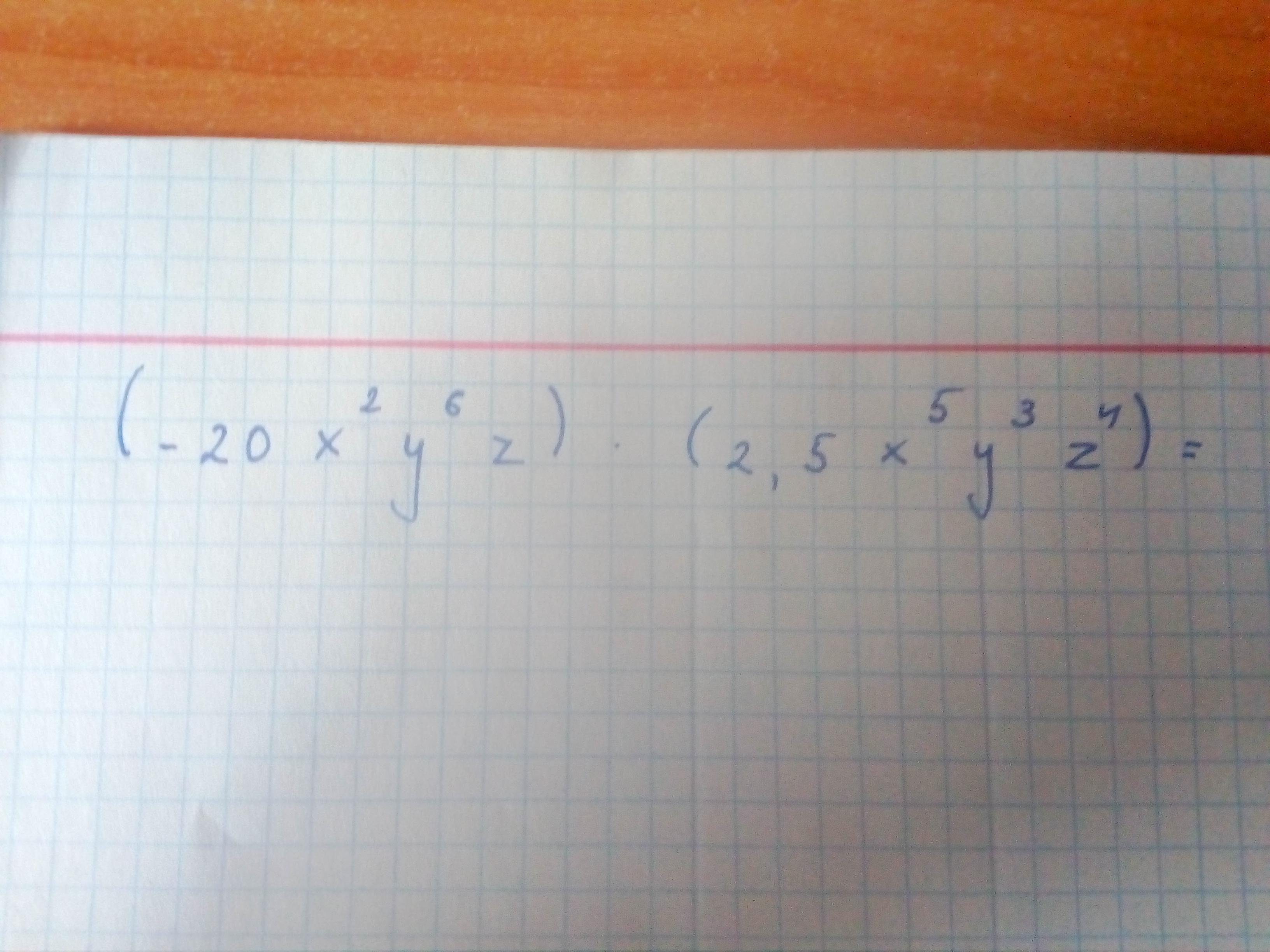
Помогите решить запишите пожалуйста полное решение спасибо

Приложения:

Ответы

Ответ дал: SUPERFati2007
1

Ответ:

-50×x7×y9×z5 Цифры после букв пишется маленкими и сверху

Ответ дал: Amigo3
0

Ответ: ответ на вкладке.

Объяснение:

Приложения:
Вас заинтересует