83 номер. 2) пример. К сожалению не знаю как делать пример. Помогите пожалуйста. Распишите действия ( напишите где какое действие), распишите каждую дробь,и напишите на что сокращали если можно на листочке.
Приложения:

Ответы
Ответ дал:
0
Объяснение:
Это первая скобка вторая не видно
отправьте полную фотографию
Приложения:

timofei19976:
Распишите на
Ответ дал:
0
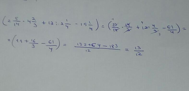
Ответ: 1) 2 5/14*4 2/3=33/14*14/3=33*14/(14*3)=11
2) 12:2 1/4=12:9/4=12*4/9=48/9=
5 1/3.
3) 11+5 1/3-15 1/4=16 1/3-15-1/4=1+1/3-1/4=4/3-1/4=(16-3)/12=13/12.
4) 13/12:4 7/10=13/12:47/10=13*10/(12*47)=
65/282.
Ответ 65/282.
Объяснение:
Вас заинтересует
1 год назад
1 год назад
1 год назад
1 год назад
3 года назад
3 года назад
8 лет назад