Ответы
Ответ дал:
1
Ответ:
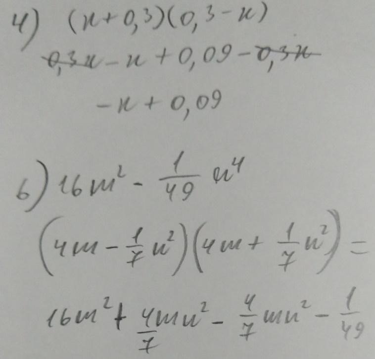
4) -x +0.09
6) (4m-n²)(4m+
n²)
Пошаговое объяснение:
Приложения:


xuoda:
Только я тупой, в а) будет -x^2 + 0.09
Ответ дал:
1
Пошаговое объяснение:
4) (х+0,3)(0,3-х)
Упростить выражение: (х+0,3)(0,3-х)= 0,3²-х².
Преобразовываем десятичную дробь в обыкновенную : 0,3²-х² = ( 3/10)²-х² = 9/100-х²
6) 16m²- 1/49·n⁴ = 4²m²- 1²/7²· n²*² = (4m)²-(1/7)²·(n²)²= (4m)²-(1/7·n²)² = (4m-1/7·n²) · (4m+1/7·n²)
Вас заинтересует
1 год назад
1 год назад
1 год назад
1 год назад
3 года назад
3 года назад
8 лет назад