• Предмет: Математика
  • Автор: Sunshine1408
  • Вопрос задан 2 года назад

Помогите, пожалуйста
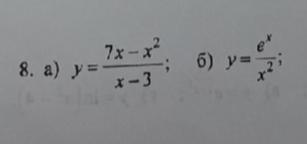
Найти значение производной

Приложения:

Ответы

Ответ дал: Vopoxov
1

Пошаговое объяснение:

\:  \: ( \frac{u}{v} )' =  \frac{u'v - uv'}{v {}^{2} }  \\y =  \frac{7x -  {x}^{2} }{x - 3} \\  y'  =  \frac{(7x -  {x}^{2}) '(x - 3) - (7x -  {x}^{2})(x - 3)'}{ {(x - 3)}^{2} }   \\ y'  =  \frac{(7-  2{x}) (x - 3) - (7x -  {x}^{2})(1 - 0)}{ {(x - 3)}^{2} }  \\ y'  =  \frac{(7x-  2{x} ^{2}  - 21 + 6x) - (7x -  {x}^{2})}{ {(x - 3)}^{2} }\\ y'  =  \frac{ - {x} ^{2}  + 6x - 21}{ {(x - 3)}^{2} }

Можно записать след.образом

y'  =  \frac{ -( {x} ^{2}   -  6x + 21)}{ {(x - 3)}^{2} } \\ y'  =  \frac{ -( {x} ^{2}   -  6x + 9 + 12)}{ {(x - 3)}^{2} } \\ y'  =  \frac{ - {(x - 3)} ^{2}   -  12}{ {(x - 3)}^{2} } \\ y'  =  - 1 -  \frac{ 12}{ {(x - 3)}^{2} }

Вас заинтересует