• Предмет: Математика
  • Автор: ivanova000212
  • Вопрос задан 2 года назад

ПОМОГИТЕ ПОЖАЛУЙСТА СРОЧНО ​

Приложения:

Ответы

Ответ дал: Miroslava227
1

Ответ:

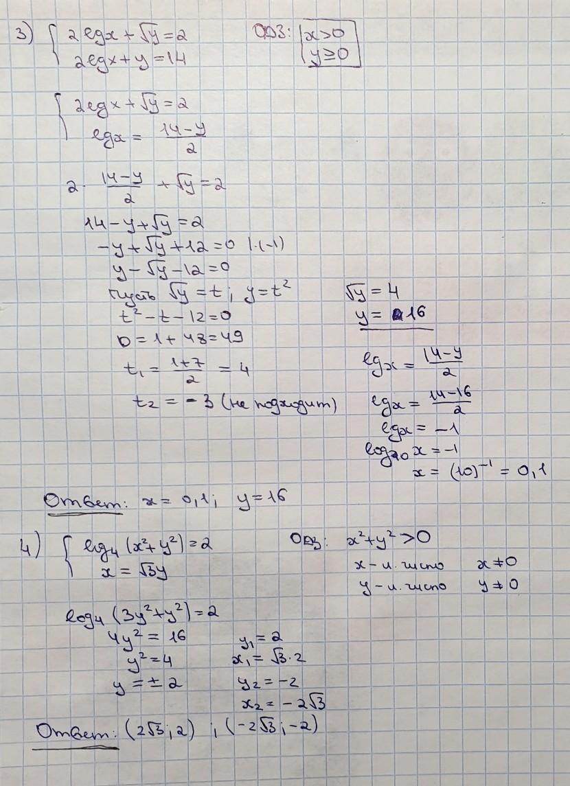
решение на фотографии

Приложения:

ivanova000212: спасибо большое
Вас заинтересует