Ответы
Ответ дал:
0
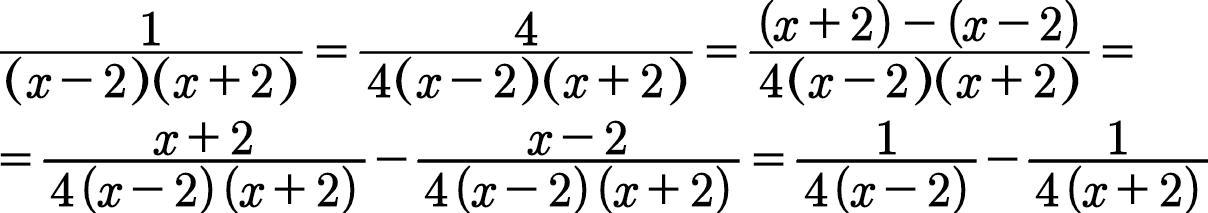
Ответ: выходит, что правильно получилось
Объяснение:
Приложения:

Ответ дал:
0
Ответ:
===
Объяснение:
Приложения:

Вас заинтересует
1 год назад
1 год назад
3 года назад
8 лет назад