• Предмет: Математика
  • Автор: geometri9645
  • Вопрос задан 2 года назад

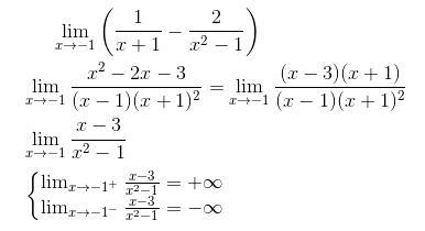
решите пожалуйста, это выш мат.​

Приложения:

igundane: Его не существует
geometri9645: это и есть ответ
igundane: Нуяда
geometri9645: а не могли бы вы расписать как вы пришли к этому выводу?
igundane: Сейчас

Ответы

Ответ дал: igundane
0

Так как левосторонний и правосторонний различны ,то предел не существует

Приложения:
Вас заинтересует