• Предмет: Математика
  • Автор: yanagolhtein
  • Вопрос задан 2 года назад

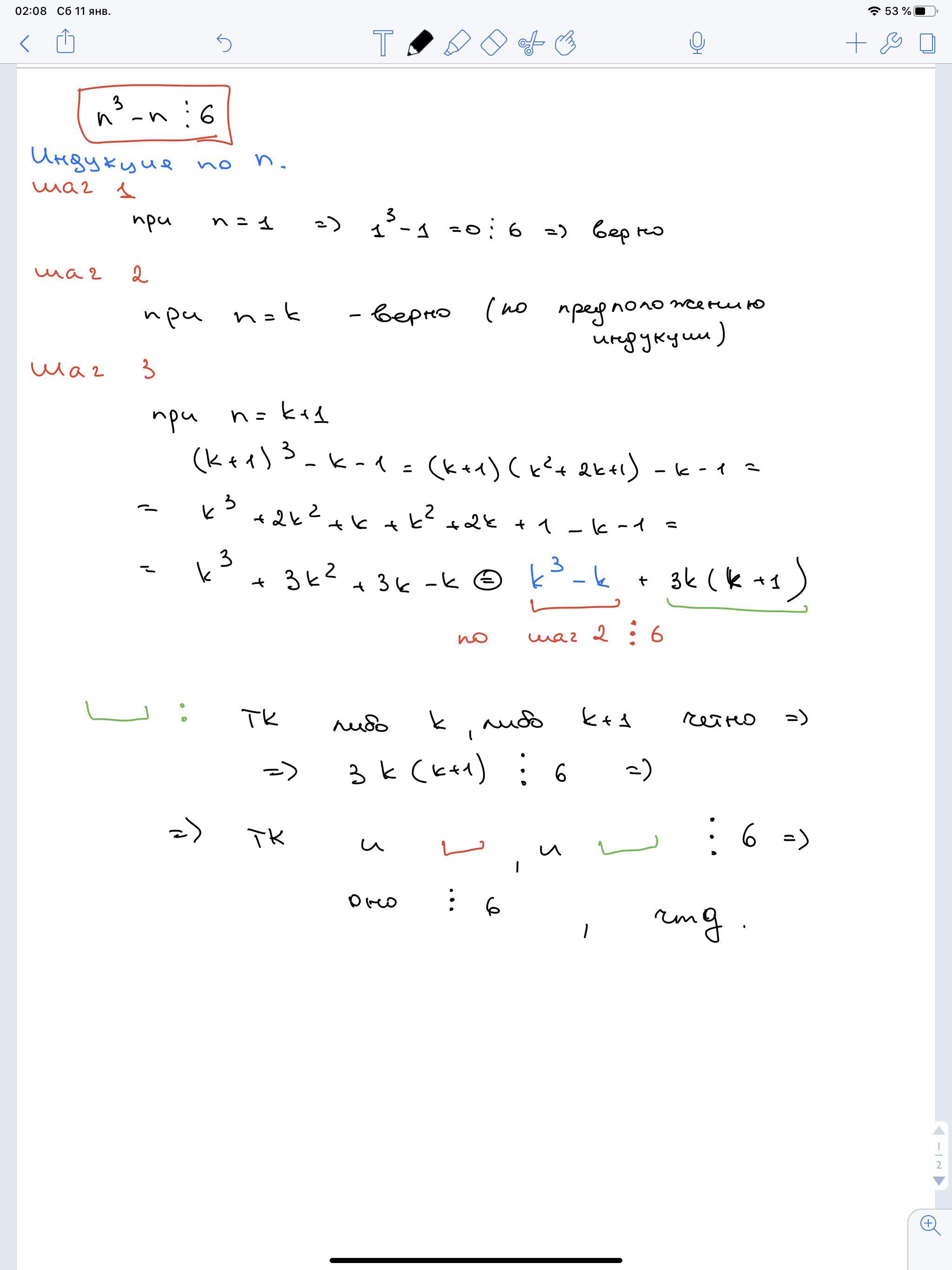
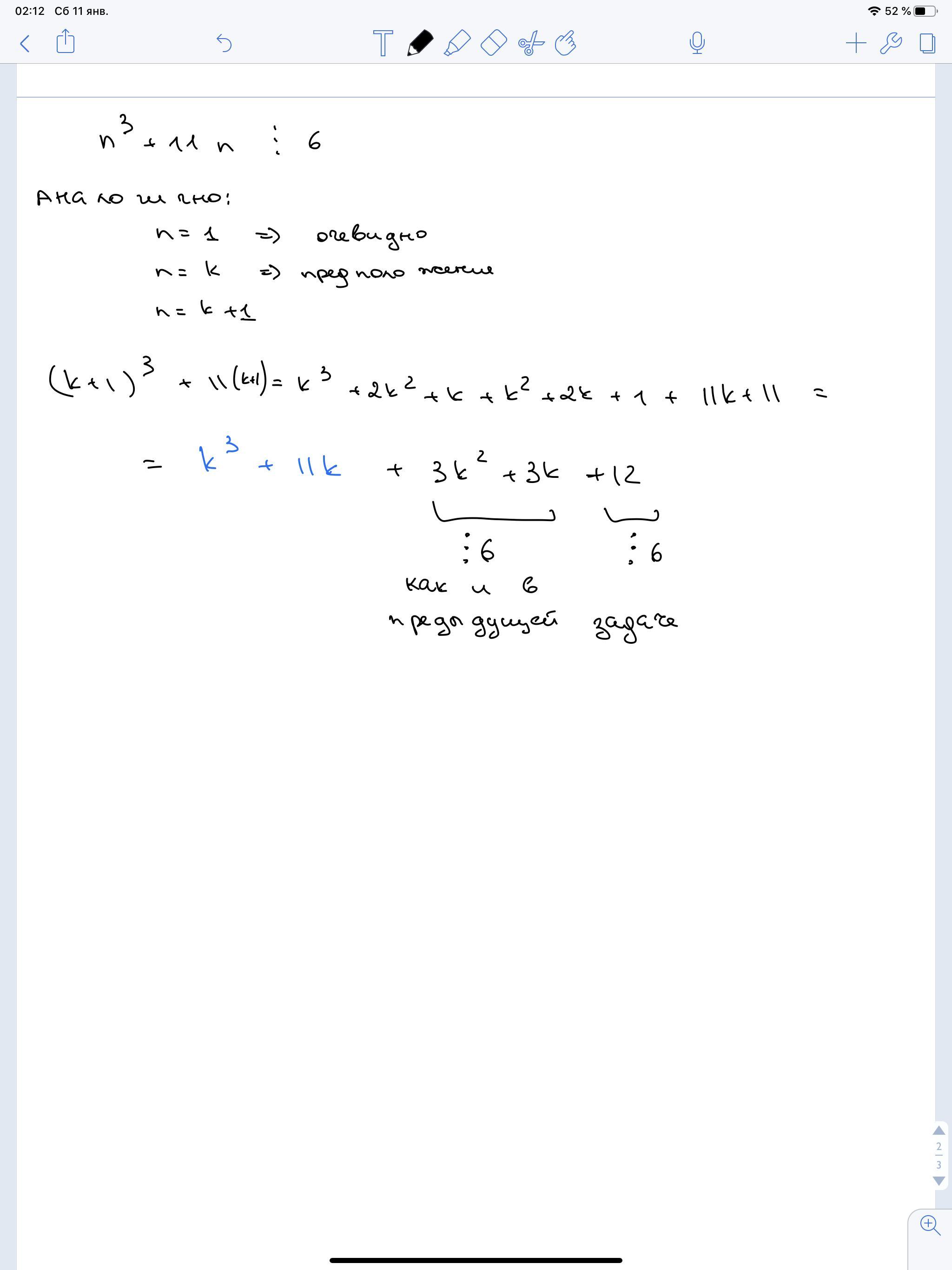
С помощью метода математической индукции , покажите ,что при любом натуральном n n^3-n кратно 6;n^3+11n кратно 6

Приложения:

Ответы

Ответ дал: OkEY777
2

Ответ:

Первая задача подробнее, но вторая абсолютно такая же

Приложения:
Ответ дал: iosiffinikov
0

Пошаговое объяснение:

1) Вообще-то и без индукции легко доказать

Выражение эквивалентно : М(n)=n*(n-1)(n+1), т.е. равно произведению трех последовательных натуральных чисел. Одно из них обязательно кратно 3 и по крайней мере одно четное, значит произведение кратно 6. Но раз требуется по индукции, сделаем так :   Для n=1 утверждение верно М(1)=0. Пусть оно верно для n. Покажем, что оно верно для n+1.

М(n+1)=(n+2)*(n+1)*n=М(n)*(n+2)/(n-1)=М(n)+М(n)*(3/(n-1))=М(n)+(n+1)*n*3

Но (n+1)*n -четное. 3*(n+1)*n делится на 6, а М(n) кратно 6 по предположению индукции. Что и доказывает утверждение.

2. n^3+11*n=(n^3-n)+12n.   То , что (n^3-n) -n  кратно 6 мы уже доказали (по индукци и напрямую). А теперь к выражению прибавили 12n, которые точно кратны 6. так что утверждение доказано.

Вас заинтересует