• Предмет: Математика
  • Автор: zeroshiro9
  • Вопрос задан 2 года назад

Решите уравнение пожалуйста​

Приложения:

Ответы

Ответ дал: Dashka2Lunyashka
1
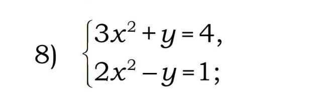
Методом сложения получаем: 5x^2=5
X^2=1
X=1
X=-1

Потом отсюда находим y=1
Вас заинтересует