• Предмет: Алгебра
  • Автор: subura
  • Вопрос задан 2 года назад

Помогите решить
ЭТО СРОЧНО
ПОЖАЛУЙСТА

Приложения:

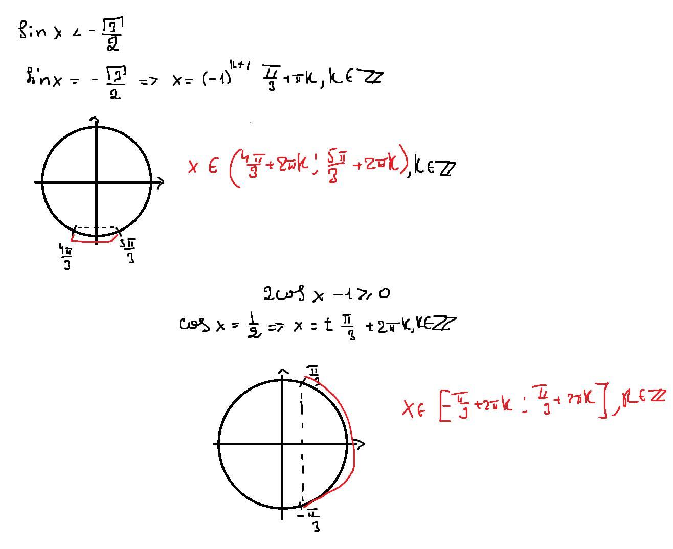
Ответы

Ответ дал: igundane
0

///////////////////////////////////////

Приложения:
Вас заинтересует