• Предмет: Математика
  • Автор: mishanya778
  • Вопрос задан 2 года назад

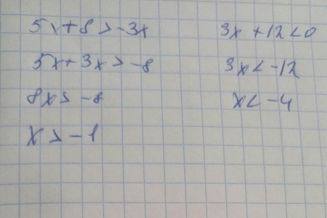
Решите неравенства
3x + 12<0
5x + 8 > -3x

Ответы

Ответ дал: diko6909
0

Ответ:

x &lt;  - 4

x &gt;  - 1

вроде бы правильно, а решение нужно?

Приложения:

mishanya778: решение надо
diko6909: сейчас скину
diko6909: посмотри ответ) я прикрепиоа решение
Вас заинтересует